QQ登录

只需一步,快速开始

用微信登录

扫一扫,用微信登录

手机号码,快捷登录

查看: 5853|回复: 12

三一被曝行贿 天山股份及多家中字头公司被卷入

[复制链接]
发表于 2011-4-20 08:59:15 | 显示全部楼层 |阅读模式
网易财经4月18日讯 一位自称曾在三一重工工作的员工今日在网站上发布数份文件的照片,直指三一重工新疆公司以及三一总公司涉嫌行贿,上市公司天山股份以及多家中字头公司被卷入。

发布帖文的网友称自己曾是三一重工的一名员工,他今日在多家网站上发布了名为《重大爆料:三一重工行贿证据》的帖文,公布了一共19张内部文件的照片。

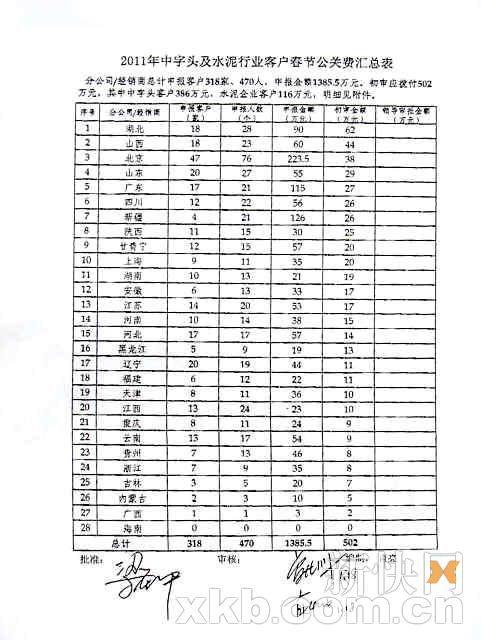
19张照片主要分两部分,一部分是三一新疆公司与天山股份旗下屯河水泥、天山神州以及天山筑友三家公司的在2010年6月以及7月的资金来往记录,另一部分是2011年中字头及水泥行业客户春节公关费汇总表以及清单。

通过照片中的文件显示,2010年7月份,天山股份下属天山筑(原文如此)将采购8000万元成套设备,三一向天山股份总工、天山股份东疆事业部总经理、天山股份招标办主任以及天山筑友董事长和总经理5人共计支付了30万元;天山股份下属屯河水泥已采购2000多万元成套设备,三一向天山股份总工程师支付了15万元,三一新疆公司向屯河水泥总经理及搅拌站总经理各支付了5万元;天山神州已采购2000多万元成套设备,三一向天山神州常务副总经理、搅拌站总经理以及销售部长共支付15万元。报告称三项业务费共计70万元,均由三一新疆分公司或周小明先生已垫付。

另一份春节公关费汇总表显示,分公司/经销商总计申报客户318家、470人,申报金额1385.5万元,初审应拨付502万元,其中中字头客户386万元,水泥企业客户116万元。文件批准人签字为“梁在中”。根据资料显示,三一重工董事长梁稳根的儿子为梁在中,现任三一集团有限公司副总裁、财务总部总监。

列表所示,公关客户涉及包括湖北、山西、北京、甘青宁等28个分公司/经销商。在明细表中,包括中铁四局、五局多个分局、中水五局、七局等多个分局、中交一航、二航等分局、中建四局、五局等分局、中国七冶、十五冶、中石油二建等、中国核工业第二二公司等建筑公司以及安徽建工集团、吉林亚泰水泥、冀东水泥集团、中材水泥、江西南方水泥中核混泥土有限公司、明峰建材等建材企业,公关对象均为所在企业高管人物。

网易财经根据照片中显示的联系方式联系上三一重工新疆分公司的黎增利,对方称自己没有印象,没有15万元业务费,也从来没有和屯河水泥发生过类似交易。

根据三一重工于2011年3月17日公布的2010年年报显示,三一重工2010年全年实现营业收入 339.55亿元,同比增长78.94%;营业利润68.97亿元,同比增长105.57%;净利润61.64亿元,同比增长103.94%。截止2010年12月31日,三一重工总资产313.41亿元,净资产119.19亿元。其中泵送事业部销售额达217 亿元,成为公司首个突破200亿规模的事业部。挖掘机销售过万台,汽车起重机、路机产品销售增长率均超过100%。

网易财经还将继续向各方求证,稍后带来更详细的报道。
回复

使用道具 举报

发表于 2011-5-15 22:34:26 | 显示全部楼层
整个中国已经烂透了,各行各行,好象不行贿搞不到订单,不行贿会被政府部门往死里整,不偷税逃税赚的钱还不够交税费的。
回复 支持 反对

使用道具 举报

发表于 2011-5-16 23:02:09 | 显示全部楼层
[s:5]
回复 支持 反对

使用道具 举报

发表于 2011-4-20 09:01:11 | 显示全部楼层
右图为证.......版主上图呀!
回复 支持 反对

使用道具 举报

 楼主| 发表于 2011-4-20 11:15:33 | 显示全部楼层
1.jpg
回复 支持 反对

使用道具 举报

 楼主| 发表于 2011-4-20 11:16:13 | 显示全部楼层
2.jpg
回复 支持 反对

使用道具 举报

 楼主| 发表于 2011-4-20 11:41:50 | 显示全部楼层
3.jpg
回复 支持 反对

使用道具 举报

发表于 2011-4-20 15:59:26 | 显示全部楼层
这些都是比较正常的销售手段吧

网上 上午才暴出 某洗浴场所给什么公 安 国税  地税等11个部门送礼的清单呢

比起设备货款  那点贿赂算什么
不过现在这些曝光越来越多了

希望以后这些潜规则 少点吧
回复 支持 反对

使用道具 举报

发表于 2011-4-20 19:00:48 | 显示全部楼层
关注
回复 支持 反对

使用道具 举报

发表于 2011-4-20 19:09:01 | 显示全部楼层
正常的
回复 支持 反对

使用道具 举报

您需要登录后才可以回帖 登录 | 立即注册   扫一扫,用微信登录

本版积分规则

QQ|玻璃钢复合材料商城|联系我们|Archiver|手机版|小黑屋| FRP玻璃钢复合材料论坛 蜀ICP备10204395号-1

GMT+8, 2026-1-27 13:07 , Processed in 1.158453 second(s), 23 queries .

© 2015-2016

快速回复 返回顶部 返回列表