QQ登录

只需一步,快速开始

用微信登录

扫一扫,用微信登录

手机号码,快捷登录

查看: 2088|回复: 0

[技术分享] VEGF鳞片复合材料在脱硫烟囱中的应用可行性研究

[复制链接]
发表于 2020-2-19 10:47:55 | 显示全部楼层 |阅读模式
要:本文介绍了鳞片复合树脂胶泥的特点,以及目前国内电厂烟囱的实际运行情况,讨论了VEGF材料在脱硫烟囱中应用的技术可行性,并就VGEF在烟囱防腐蚀应用中可能采用的技术措施进行了试验表征和分析。
关键词: VEGF 鳞片 脱硫烟囱 应用可行性
1、 前言
   我国是一个能源结构以燃煤为主的国家,大气污染属煤烟型污染,粉尘、二氧化硫(SO2)、氮氧化物(NOx)是我国大气的主要污染物。如2000年我国燃煤电厂的NOx的排放量达到290万吨。由于我国能源结构的特点,导致了酸雨的环境污染和较多的腐蚀情况,因此对于燃煤发电厂中产生大量的二氧化硫或氮氧化物的防治是势在必行。目前国内外较为有效的手段是烟气脱硫(Flue GasDesulfurization 简称“FGD”)。而采用湿法石灰石洗涤法是当今世界各国烟气脱硫技术中应用最多也是最成熟的工艺。2003年我们国家的湿法脱硫设备国产化率已在96%以上,预计到2010年,国产化率可达100%。 虽然脱硫后烟气中含有的腐蚀性介质含量较少,但由于脱硫后烟气的温度一般都在硫酸的露点以下,因此对于不同结构形式的烟囱内壁,均有不同程度的腐蚀发生。而我们国内针对脱硫烟囱的防腐蚀措施,无论在烟囱的设计、施工等标准规范方面,还是在工程实际应用上面,都存在着空白或没有足够的经验积累。目前国内新烟囱选择了钛材,但钛材不仅成本高,而且目前市场供需矛盾明显,是否能满足防腐蚀要求还需要观察和跟踪。由于VEGF玻璃鳞片复合材料已成功应用于烟气脱硫装置,积累了比较丰富的经验,因此我们来探讨VEGF玻璃鳞片复合材料在烟囱中的防腐蚀应用可行性,这不仅为新建脱硫烟囱采用的防腐蚀措施提供了一个新的选择,同时也为国内电厂旧烟囱的改造带来实际的参考价值。
2、 湿法烟气脱硫工艺的烟囱运行工况条件
湿法石灰石洗涤法是国外应用最多和最成熟的工艺,也是国内火电厂脱硫的主导工艺。湿法脱硫工艺主要流程是,锅炉的烟气从引风机出口侧的烟道接口进入烟气脱硫(FGD)系统。在烟气进入脱硫吸收塔之前经增压风机升压,然后通过烟气—烟气加热器(GGH),将烟气的热量传输给吸收塔出口的烟气,使吸收塔入口烟气温度降低,有利于吸收塔安全运行,同时吸收塔出口的清洁烟气则由GGH加热升温,烟气温度升高,有利于烟气扩散排放。经过GGH加热器加热后烟气温度一般在80℃左右,可使烟囱出口处达到更好的扩散条件和避免烟气形成白雾。GGH之前设的增压风机,用以克服脱硫系统的阻力,加热后的清洁烟气靠增压风机的压送排入烟囱。当不设GGH加热器加热系统时,烟气温度一般在40~50℃。
烟气经过脱硫后,烟气中的二氧化硫的含量大大减少,而洗涤的方法对除去烟气中少量的三氧化硫效果并不好,因此仍然残留近10%的二氧化硫和三氧化硫。由于经湿法脱硫,烟气湿度增加、温度降低,烟气极易在烟囱的内壁结露,烟气中残余的三氧化硫溶解后,形成腐蚀性很强的稀硫酸液。脱硫烟囱内的烟气有以下特点:
1)   烟气中水份含量高,烟气湿度很大;
2)   烟气温度低,脱硫后的烟气温度一般在40~50℃之间,经GGH加温器升温后一般
在80℃左右;
3) 烟气中含有酸性氧化物,使烟气的酸露点温度降低;
4) 烟气中的酸液的浓度低,渗透性较强。
5) 烟气中的氯离子遇水蒸气形成氯酸,它的化合温度约为60℃,低于氯酸露点温度时,就会产生严重的腐蚀,即使是化合中很少量的氯化物也会造成严重腐蚀。
由于脱硫烟囱内烟气的上述特点,对烟囱设计有如下影响:
1) 烟气湿度大,含有的腐蚀性介质在烟气压力和湿度的双重作用下,结露形成的冷凝物具有很强的腐蚀性,对烟囱内侧结构致密度差的材料产生腐蚀,影响结构耐久性。
2) 低浓度稀硫酸液比高浓度的酸液腐蚀性更强。
3) 酸液的温度在40-80℃时,对结构材料的腐蚀性特别强。以钢材为例,40-80℃时的腐蚀速度比在其它温度时高出约3-8倍。
由此可知,排放脱硫烟气的烟囱比排放普通未脱硫烟气的烟囱对防腐蚀设计要求要高得多,这也许与我们的传统观念有所不同。目前,电厂烟囱主要在以下三种工况下运行:
1)  排放未经脱硫的烟气,进入烟囱的烟气温度在1300C左右。在此条件下,烟囱内
壁处于干燥状态,烟气对烟囱内壁材料属气态均匀腐蚀,腐蚀情况相当轻微。
2)  排放经湿法脱硫后的烟气,并且烟气经GGH系统加热,进入烟囱的烟气温度在800C
左右,烟囱内壁有轻微结露,导致排烟内筒内侧积灰。根据排放烟气成分及运行等条件的不同,结露腐蚀状况将有所变化。
3)  排放经湿法脱硫后的烟气,进入烟囱的烟气温度在40~500C,烟囱内壁有严重结
露,沿筒壁有结露的酸液流淌。
在设有脱硫系统的电厂,由于在运行时,烟气有可能不进入脱硫装置,而通过旁路烟道进入烟囱。此时,烟气温度较高,一般在130℃左右,故设计烟囱时,还必须考虑在此温度工况下运行对烟囱的影响。
同时在烟囱的防腐蚀设计中还应该考虑到以下几个综合因素:残留的灰粉平均粒度(大约10um)、灰粉的硬度(约莫式硬度7.0)、灰粉的冲击能量(2.05*10-12J)、灰粉的浓度(600mg/m3)、烟囱的最大曲率变化(实际不大于1%)。
欧美等发达国家电厂烟气脱硫开始的时间比较早,根据国内外的经验,目前湿法脱硫后的烟囱钢内筒内衬防腐主要有四类形式:
l        耐酸腐蚀的金属合金薄板材作内衬,材料包括镍基合金板(C-276、C22)、钛板(TiCr2)等;
l        耐腐蚀的轻质隔热的制品粘贴,隔绝烟气和钢内筒接触,如发泡耐酸玻璃砖内衬;
l        采用耐酸、耐热、保温浇筑材料,使用浇注或压力喷浆技术安装内衬;
l        玻璃鳞片涂层等防酸腐蚀涂料,
3VEGF材料的特点
VEGF鳞片胶泥(涂料)是以乙烯基酯树脂材料为主材加入10%-40%片径不等玻璃鳞片等材料配制而成的,其中VEGF是vinyl ester glass flake的缩写。鳞片胶泥含有的玻璃鳞片,在胶泥施工完毕后,扁平型的玻璃鳞片在树脂连续相中呈平行重叠排列,从而形成致密的防渗层结构。腐蚀介质在固化后的胶泥中的渗透必须经过无数条曲折的途径,因此在一定厚度的耐腐蚀层中,腐蚀渗透的距离大大的延长,相当于有效地增加了防腐蚀层的厚度。所以VEGF材料具有以下特点:
1》             耐腐蚀性能好。由于鳞片涂层采用的基体树脂是高性能的乙烯基酯树脂,该类型树脂具有较环氧树脂更好的耐腐蚀性能。
2》             较低的渗透率。鳞片涂层的抗水蒸汽渗透率比普通环氧树脂涂料高6-15倍,比普通环氧FRP高4倍。
3》             鳞片涂层具有较强的粘结强度,不仅指树脂基体与其中的玻璃鳞片之间的粘结强度较高,而且鳞片涂层与基材之间的粘结强度高,同时鳞片涂层不易产生龟裂、分层或剥离,附着力和冲击强度较好,从而保证较好的耐蚀性。
4》             耐温差(热冲击)性能较好。涂层中由于含有许多玻璃鳞片,因此消除了涂层与钢铁之间的线膨胀系数的差别,鳞片涂层的线膨胀约为11.5×10-6m/m℃,钢铁的线膨胀系数为12.0×10-6 m/m℃,两者之间比较相近,使鳞片涂层适合于温度交变的重腐蚀环境。
5》             耐磨性好。鳞片涂层在固化后的硬度较高,且有韧性,在粒子的冲刷耐磨性较好,鳞片涂层的破坏是局部的,其扩散趋势小,易于修复。
6》             具有适中的造价。与目前FGD装置中的主要选用:钛复合板、不锈钢、整体镍基合金、整体玻璃钢等相比,玻璃鳞片涂层具有最好的性价比。
7》             工艺性较好。由于鳞片涂层的固体成份和添加剂根据需要可以调节配比,使涂料能适应多种气候,多种工艺要求的配置方法。能解决低温气候的固化问题,和每道工艺之间的施工间隙时间的长短。
4VEGF材料的应用性研究
根据VEGF材料在电厂烟囱中的实际应用中可能出现的一些技术问题,我们分别对材料的各方面的性能进行了测试和表征。
41 VEGF涂层的耐磨损特性
如前文所述,烟气中含有大量的粉尘,同时在腐蚀性的介质作用下,磨损的实际情况可能会较为明显,所以我们对碳钢上表面涂覆VEGF胶泥的试样进行了耐磨损试验。
4.1.1实验方法:
采用高压空气携带一定粒度的磨料,对玻璃鳞片涂层进行快速冲刷磨损,原理见图4.1。1。
QQ图片20200219103820.png
4.1.2 试验条件:
空气压力0.1Mpa;磨料为硬度莫式8.5的棱角碳化硅磨料,实体密度2.45kg/m3,磨料粒度分布见表4.1。2-1。环境温度常温,其它测试时的条件见表4.1。2-2,一次固定冲刷时间10min,实验结果见表4.1。2-3,

表4.1。2-1 磨料粒度分布
QQ图片20200219103837.png
4.1.3       试验数据分析和讨论:
A>涂层表面损坏形式:经过10min高强度冲刷磨损后,涂层的损坏主要为微小的点状现象,即在高能量的磨料粒子冲击下涂层出现类式微切削和微小剥离的状况,涂层未出现超过1mm直径的斑点剥离现象,表明涂层具有较好的韧性和良好的涂层结合能力。
B>涂层估计的耐磨性能:通过磨料和灰粉的冲击能量、颗粒数目和硬度比值可以预计(具体见表4.1。3),VEGF涂层安全磨损量为1mm在烟囱内的条件下使用,有90.6年的耐磨寿命,即使在高温条件下涂层的耐磨性能有所变化,再考虑烟囱入口气流弯转时的颗粒不均匀性,涂层的耐磨寿命也足够长。再者,在烟囱入口冲刷区将涂层的厚度可适当增加,涂层还可以进行简单方便的修补工作。所以VEGF复合材料有足够的耐磨损特性并能够满足在烟囱中的使用环境。

表4.1。3 实际烟囱工况条件的对比:
QQ图片20200219103854.png
由于考虑到一些烟囱的高空特性,包括是地球本身的运动、地震和风力作用等情况,烟囱尤其是高空部位可能会发生摇动等角度偏向或偏离,同时烟囱在安装和运输过程中可能会发生一些不可控的力学作用等,所以有必要对VEGF材料的耐(抗)弯性能进行表征和确定。

试验中我们对2.5mm厚度的碳钢上涂有2mm厚度的玻璃鳞片涂层进行弯曲试验(碳钢板越厚,其弯曲的曲率半径越大,涂层越不容易受到破坏,而实际碳钢的厚度远大于2.5mm),试样弯曲达到 15°角度时候涂层出现微裂纹,试样弯曲达到20°角度,裂纹扩张开裂,试样弯曲达到 25°角度涂层与金属表面剥离(具体见图4.2)。而φ7000mm工件在搬运过程中,如注意起吊操作的方法,工件可能出现的最大变形将小于5°弯曲角度,因此可以认为由于涂层所具有的良好韧性及与金属基体良好的结合,完全可以承受搬运过程中出现的一定量的变形,而不会出现涂层剥离和开裂现象。同时,在安装后的正常运作的烟囱的角度偏向在1度以内,烟筒的碳钢基体的曲率半径很大,局部不连续的可能发生的最大曲率变化不大于1%,所以VEGF材料的抗弯曲特性完全可以满足实际施工和运行的需要。
QQ图片20200219103926.png
4.3 VEGF材料的耐高温特性
如前文所述,不论是经过脱硫后的烟气,还是没有脱硫后的烟气,不论FGD系统中是否还有GGH,在设计及实际应用中,内衬防腐蚀材料均应该考虑到在一些正常情况下的材料的耐温性,以防止不正常运作情况下,对VEGF涂层的破坏。
431试验方法:
将涂有玻璃鳞片涂层的试样,置入高温烘箱内加热,在设定的温度区间内保温一定时间,取出冷却后观察试片表面涂层的变化。
432试验过程(具体见表4.4):
(1)             放入烘箱试片共10片,保温1小时,取出一片试片观察玻璃鳞片涂层表面基本未出现变化;
(2)             9片试片再次升温在175℃保温1小时烘箱(升温速度10℃/min),取出一片试片观察玻璃鳞片涂层表面开始出现轻微的色泽(表面微氧化)加深变化,呈淡黄色;
(3)             留7片试片在烘箱中,再次升温至200℃保温2小时后,取出三片试片观察玻璃鳞片涂层表面与175℃保温1小时取出的试片基本一致,表面涂层色泽稍有加深。留四片试片在烘箱中200℃继续保温28小时后,取出2片试片(累计30小时)观察玻璃鳞片涂层表面仅比200℃保温2小时取出的试片,表面色泽略有加深。保温时间累计50小时后,取出最后剩余的2片试片,观察试片的表面色泽、外观、打磨的斜坡口与30小时的试片基本没有变化。
(4)             另外取出的2片(175度保温1小时)试片放入300℃电烤箱内,1小时后观察,试片色泽已由黄色转褚红色,再升温到340℃,1小时后对试片观察,色泽进一步加深,同时涂层出现裂纹。

表4.5试验中试片安排表
QQ图片20200219103949.png

4.3.3试验结果分析:
经过不同温度阶段的涂层试片断面观察,温度对涂层的影响过程可以概括为:随着温度的上升,涂层表面(极薄,不超过10μm)开始出现氧化现象,在200℃以内,涂层的内部结构没有出现变化,仅有表面出现氧化,氧化的程度和高温持续的时间有关。
但首先这层氧化膜极薄,表面不会开裂,氧化反应不会向涂层纵伸方向发展,在经历一定时间后(估计数天),氧化过程会达到饱和。这些从试验的试片中可以看出:对比200℃停留2小时、和200℃停留30小时和200℃停留50小时试片,涂层表面氧化膜的颜色改变趋势越来越小,涂层内部材质未发现变化。随着温度上升到300℃以后,涂层内部质量有所改变,具体原因为:

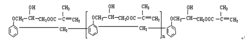
VEGF鳞片涂层采用的树脂基料为酚醛环氧乙烯基类,其分子结构为:
QQ图片20200219104004.png
树脂固化物的强度、耐热性,与树脂分子主链中的主要基团的结构、树脂的交联密度有关。树脂的耐化学药品性即耐水、酸、碱、盐、溶剂的性能与组成其分子的各基团的种类及树脂的交联密度有关。
从本实验结果来看,温度到上升120℃,涂层的色泽无变化,而且涂层的硬度有所提高,温度再提高175℃以上,色泽发生变化主要因为基料树脂在聚合过程中添加的胺类化合物促进剂出现氧化。(基料树脂在交联完成后,少数的胺类化合物促进剂游离附着于高分子网格链之间,与空气接触容易被氧化)
高于300℃后,由于分子热运动加剧,基料树脂的开始降解(聚苯乙烯降解温度为240度),涂层内部质量下降,稳定的分子结构被破坏,涂层出现开裂。
酚醛环氧乙烯基酯玻璃鳞片涂层的基料树脂出现降解的情况下,涂层不可避免的要开始破坏(酚醛环氧的分解温度360℃),玻璃鳞片虽然存在可以控制破坏,形式为分层破坏,但对于一个很大面积的涂层表面来说,这种破坏的修补工作量还是太大了。
所以从上面的试验结果清楚地表明:
1.     200℃时涂层的内部材料没有变化,200℃涂层的表面硬度有所提高,耐蚀性能和耐磨损性能不会有大的变化。
2.     耐温试验试片的加热升温速度和降温速度,都大于涂层在烟囱内(钢制烟囱带有外保温)工作的温度冲击速度,涂层在抗热冲击的性能上表现优越。
3.     涂层使用温度不能超过300℃,即使短时间(1小时)300度的烟气没有直接造成涂层开裂,涂层的使用年限也会受到很大的影响。
4.       总之,以酚醛环氧乙烯基酯玻璃鳞片为核心的VEGF复合涂层防腐蚀体系,在200℃以下温度长期工作的稳定性是没有问题。适合使用在不设置GGH的脱硫烟囱内,既耐腐蚀、耐磨损、局部易修复。
4.4 VEGF材料的耐腐蚀
VGEF类玻璃鳞片复合材料在国内外的FGD(包括前入口处烟气中)运行多年,均有大量的成功应用案例,所以VEGF耐腐蚀性是完全满足烟囱中的使用要求,同时我们也把VEGF试片浸泡在10%的稀硫酸和20%的NaOH溶液中,放置25天后,试片颜色没有改变,表面光滑,且无粘性物质附着,说明VEGF材料完全能够满足烟囱中腐蚀条件,包括在没有GGH装置中的烟囱的防腐蚀。
5、VEGF材料的耐腐蚀衬里的经济性
    如前文所述,如采用VEGF鳞片复合材料,在FGD装置中可以省却GGH装置,这个FGD建设费用可节省4200万元/2台GGH(其中2 台GGH的设备村身费用达3600万,其它安装等费用达600万);同时,以约4000平米的烟囱为计算单位,VEGF鳞片衬里的防腐蚀费用为约400万,每台烟囱的衬钛合金成本约为1200万防腐蚀增加费用,衬镍基合金板的费用约为1000万;虽然采用VEGF材料在15年左右会进行维修和防护,但也可根据情况进行局部或者是全部的防腐蚀处理,所以采用VEGF材料作为防腐蚀衬里具有相当的经济性竞争优势,尤其在老电厂的烟囱的防腐蚀改造,尤其具有更大的竞争性。
6、VEGF涂层的应用案例
目前国内采用鳞片复合材料在钢烟囱内衬的应用案例基本没有,但是国外尤其是日本已成熟地应用鳞片复合材料内衬于烟囱中,如日本富士树脂工业株式会社等,泰国石化集团1994的电厂脱硫烟囱,90年代在台湾的几个大型化纤项目(台塑集团、南亚集团)的电厂中的烟囱防腐蚀等得到使用。目前在国内一些非烟囱(如FGD烟道)中的防防腐蚀已正常使用10年了,没有任何大修。
7、结论

    综上所述,VEGF复合材料完全可以胜任电厂中的烟囱防腐蚀应用需要,不论FGD总体装置中是否设置有GGH,VEGF材料在烟囱的防腐蚀应用均具有明显的综合经济性和技术可行性,尤其是对于旧电厂中的烟囱的改造有较大的实际指导意义。

回复

使用道具 举报

您需要登录后才可以回帖 登录 | 立即注册   扫一扫,用微信登录

本版积分规则

QQ|玻璃钢复合材料商城|联系我们|Archiver|手机版|小黑屋| FRP玻璃钢复合材料论坛 蜀ICP备10204395号-1

GMT+8, 2026-4-27 00:35 , Processed in 1.161308 second(s), 29 queries .

© 2015-2016

快速回复 返回顶部 返回列表