QQ登录

只需一步,快速开始

用微信登录

扫一扫,用微信登录

手机号码,快捷登录

查看: 1905|回复: 0

[技术分享] 乙烯基树脂鳞片衬里专用底涂层粘接强度的检测与评价

[复制链接]
发表于 2020-2-19 10:10:21 | 显示全部楼层 |阅读模式
    本文对涂层附着力的形成、影响因素、检测方法等进行了阐述和分析;对目前在FGD系统的鳞片衬里中常用的几种专用底涂层进行了粘接强度的检测和对比筛选;提出了涂层附着力应采用在线定量的检测方法。
关键词   树脂鳞片衬里  底涂层  粘接强度
1  前言
近年来国家的环保法规要求火力发电厂减排含硫燃煤烟气,因此新、老电厂纷纷上马烟气脱硫系统(FGD)。在选用的脱硫工艺中,湿法石灰石洗涤法是目前国内烟气脱硫技术中最为成熟也是应用最多的工艺。然而该工艺中处于不同温度下的干、湿烟气对洗涤吸收塔、烟道等碳钢金属设备、管道的腐蚀问题也随之产生。在现阶段最为经济和有效的防腐蚀措施是在碳钢表面进行环氧乙烯基酯树脂玻璃鳞片衬里涂覆,其形成的鳞片衬里层能有效防护碳钢基体免受含硫烟气的侵蚀。而作为树脂鳞片衬里与碳钢基面承上启下的底涂层,所起到的作用不仅要与衬里层配套,同时要求与碳钢基面粘接完好,并能满足不同温度等工况条件下的使用要求。但是我们发现现有底涂层的粘接性能或多或少存在着缺陷和不足:1)采用环氧树脂作底涂,与碳钢基面的附着力比较好,但是与后涂的环氧乙烯基酯树脂玻璃鳞片衬里不配套,其层间粘接性能不能满足工艺要求而常常造成脱层现象的发生。2)采用环氧乙烯基酯树脂作底涂,解决了与鳞片衬里层的配套,但是与碳钢基面的附着力往往不能满足高温工况下的使用要求。
本文将对涂层附着力的形成、影响附着力的因素、附着力的检测方法等进行阐述和分析比较;同时对国内目前在FGD系统的鳞片衬里中常用的几种专用底涂层进行了粘接强度的检测和对比筛选;提出了涂层附着力应采用在线定量的检测方法。
2  试验部分
21 底涂料:
A:以日本进口环氧乙烯基酯树脂为主体的底涂料—由江苏某日资企业生产。
B:以国内某日资企业提供环氧乙烯基酯树脂为主体的底涂料—由江苏某防腐蚀工程公司生产。
C:以国内某台资企业生产的环氧乙烯基酯树脂为主体的底涂料—由河南某防腐蚀工程公司提供样品。
D:以上海富晨化工的环氧乙烯基酯树脂为主体的底涂料。
上述4种产品均具备作为底涂层所应有的施工工艺特性,且防流挂性佳,都已预促进。试验用的固化剂采用MEKP(江苏前进化工厂产品)。
22 试样制备和检测方法
1、拉伸剪切法:按GB/T 7124-1986 制做钢-钢剪切试件:先对钢片进行机械打磨处理,再将配制好的底涂料均匀地涂在待粘表面上,最后将钢片叠合搭接起来,搭接长度为12.5mm;粘接面积312.5mm2。每组为5个试件。
试样在室温25℃下养护3天后,分别经过:1)130℃、160℃、180℃各2 hr;2)180℃下 7天的热环境中,取出后在室温25℃下,采用WDZ万能材料试验机(承德精密试验机厂产品)以2mm/min速度 进行拉伸检测。
2、现场拉开测试法:在150*150*5的单面钢板上进行喷砂除锈达到Sa2.5,粗糙度75微米左右,再将配制好的底涂层涂覆在钢板上。钢板试样在室温25℃下养护3天后,分别经过1)130℃、160℃、180℃各2 hr;2)180℃ 7天热环境中。取出后,在室温25℃下,按ASTM D4541方法,采用进口“液压式粘合度测试仪HATE”,将专用胶结剂涂抹在金属圆柱体粘接头上,再将金属圆柱体粘接头粘合在有底涂层的钢板上,放置1 hr后进行检测。每组5个试样。金属粘接头的Φ19.2,粘接面积 280 .0mm2。该仪器的测量范围是1~18Mpa。
3  结果与讨论
31 涂层附着力的形成
防腐蚀涂层是否能发挥作用,除了要求其耐各种腐蚀环境(如:介质、作用量、温度、湿度等)和耐老化外,更要求它与基材紧密地附着,并具有很好的内聚强度,这样才能屏蔽各种有害化学介质与基材的接触。而当涂层与基材、底涂层与中涂层或面涂层之间的附着力小于外应力或内应力时,涂层往往会发生起壳、开裂甚至剥落等现象。因此附着力是涂层起作用的基础。尽管研究人员对于附着力的本质和附着力理论至今尚有不同的认识,但是基本认为附着力是由化学键、分子间作用力和机械锚固力这样三类作用力所形成。
    1、化学键
化学键分为离子键和共价键两大类。离子键是由带负电荷的阴离子和带正电荷的阳离子结合而成。例如氯化钠,其离子键能很高,结合很牢固,熔点高达1000℃以上。共价键则是通过原子间共享电子对而结合的。有机化合物都是通过共价键结合在一起的,但是共价键中的共享电子对由于原子电负性不同,它们并非等同分配,这样就产生了极性,即形成了极性键;即使相同原子之间的非极性键,当在外界电场的作用下也可能因极性而产生诱导偶极。同时在有机大分子中,由于共价键分布的不均一,也导致了分子产生偶极,这也是分子间二极作用力的基础。
还有一类化学键即配位键是由带孤对电子的高电负性原子(N,O,F)与带空轨道的金属原子或离子结合而成的化学键。涂料作为由无机颜料、填料与有机成膜物所组成的多相分散体系,可与无机基材的金属、混凝土或与有机聚合物基材的塑料、橡胶等结合,并通过配位键改进各种组分及与基材的结合。
显然,底涂层通过化学键与基材的结合能达到最佳的附着力,这是人们希望得到的结果。通常认为:底涂层的附着力经拉开法测定大于10Mpa以上时就可能有部分化学键结合。但至今为止已证实的经化学键结合的底涂类型很少。
2、分子间作用力
分子间作用力对附着力的贡献最大。分子间作用力分为范德华力、色散力、诱导力。它们都是以分子固有的极性或诱导产生的偶极为基础,从而经相互吸引而结合。分子间作用力中最强和最重要的是氢键,它主要由-OH、-NH上的活性氢原子与氧或氮原子上的负电性孤对电子结合而成。其键能介于化学键与分子间作用力之间。
如果基材表面是惰性的,那么所有的附着就不可能发生。幸运的是大多数表面或多或少是活性的,或者经过适当的表面处理达到必要的极性:1)经过喷砂除锈的钢铁表面是高度活性的,其表面能可达几百毫牛每米;但它很容易从空气中吸附水分子生成水化铁化合物-Fe-OH;它不仅是高极性,也为化学结合提供了官能团。2)混凝土本质上就是水化的硅酸盐,具有高极性,但其低机械强度、多孔性和吸湿性对底涂的附着带来负面影响,因此一般都要求先采用封闭底漆。
3、机械作用力
一般认为机械作用是对附着力做出贡献的第三种作用力。众所周知,在粗糙的表面上的涂层附着会比平滑表面要好。一种观点认为通过打磨操作后可能产生了更多的活性中心,有利于化学键或分子间作用力结合。另一种观点认为由于涂料流入并填充了粗糙面中的孔穴,从而增强了基材和底涂料之间的机械锚固作用。
在基材的表面处理中一般都对表面粗糙度有要求,尤其是难附着的基材。此外,对于热固型的环氧、聚氨酯和不饱和聚酯等涂料,固化后往往生成很平滑的涂层,由此带来重涂性差的问题。由于涂料本身是极性的,如果发生重涂不良现象,则显然是层间结合力差,因此机械锚固力的作用不可忽视。
32 影响涂层附着力的主要因素
1.涂层与基材界面上水的积聚。由于水对金属的亲和力要高于一般高聚物对金属的亲和力,所以水能插入其间,取代高聚物的吸附。界面上的水可能来自施工时金属表面原来吸附的水膜,它将影响涂层的原始附着强度;也可能是在使用过程中涂层表面渗入或由破损处进入的,从而使涂层的附着力逐渐下降。所以在高湿的环境下涂层的附着力下降较快。
2.内应力的积聚。涂层在固化后期由于溶剂挥发、进一步的固化交联、小分子物浸出等因素,使得涂层产生体积收缩而形成内应力。在反复的冷热、干湿循环中,由于涂层和基体涨缩不一致,使界面产生反复的相对位移,同时也会形成破坏性应力。当内应力积聚至大于附着力时,涂层便会脱开。如小于附着力而大于内聚力,涂层便会开裂。我们知道,内应力的形成与高聚物的结构也有关系:低模量的柔性涂层能通过分子构象变化而消除内应力,而高交联的刚性涂层则不能。片状或纤维颜料、填料也能降低涂层的内应力,这是因为颜料、填料与高聚物间的微观开裂面导致局部释放了应力。
3.基材面上的杂质。涂装前基材面上存在的各种各样杂质会严重损害涂层的耐久性。杂质可能是干性物质,也可能是湿气或液相物质,如灰尘,磨粒残粒、油脂、胶带上的胶、焊渣焊烟、煤灰、污损海生物等,这些都能影响大多数涂层的附着力。
如果这些杂质是吸湿性或水溶性的,那么对涂层的损害显得更为严重。水分和湿气通过涂膜,被水溶性杂质所吸收驻留,这就是渗压起泡的根本原因。使用高压淡水冲洗基材表面是最合适的方法,它可以有效除去表面污物,而且能有效地清除可溶性盐分,特别是隐藏在点蚀深处的盐分。
对于油脂的清除,使用溶剂清除并不是一个好办法。较大块的油脂如果用布蘸了溶剂去清除,只会污染更多的地方,因为抹布也被油脂所污染了。对于小面积的油脂,可以多次更换干净抹布来清洗,如果是大面积,最好先用洗涤剂清洗,再用清水冲洗。
33涂层自身的力学性能
涂层实则上是一种粘弹体,涂层的常规力学性能指标有硬度、柔韧性、耐冲击性、耐磨损性等。力学性能可以综合地反映在因外力而产生的变形大小,而力学性能又与温度有关。考虑涂层如何长期适应所承受的外力时,应首先考虑应力-应变特性和玻璃化温度。
玻璃化温度Tg控制着高聚物的力学性能,而Tg则决定于高聚物分子结构。刚性分子链和高的次价力可以提高Tg,而颜料、填料对Tg的影响力不大。防腐蚀涂层应该在Tg高于实际运行温度下使用,这意味着涂层在使用环境下的力学性能将变化很小。
涂层的力学性能决定于所承受的机械应力与高聚物结构内部产生的应变分布状况间的关系。涂层应力-应变特性与高聚物种类、颜料、填料种类和浓度有关。当颜料、填料浓度低于临界颜料体积浓度范围内时,随着浓度提高,涂膜的拉伸强度提高而延伸性下降。涂膜的拉伸强度和伸长率很能说明使用性能:低的伸长率和低的拉伸强度说明涂膜硬而脆,使用中将不耐久;低的伸长率和高的拉伸强度说明硬而韧,说明耐磨性好;高的伸长率和低的拉伸强度说明涂膜柔软具有弹性;而两值均高则为强韧的强性膜。
34附着力的测试方法
341测定涂层附着力的3GB标准:
1.CB/T1720-1989 漆膜附着力测定方法。通常称“划圈法”。该法的缺点是难以判断复合涂层之间的层间附着力。
2.CB/T 9286-1998 色漆和清漆漆膜的划格试验。通常称“划格法”,是划格和胶带粘贴拉开法相结合的简单实用的评价方法。该法的缺点是涂层的厚度、强度;涂层的表面清洁度、粗糙度;环境的温度和湿度;胶带的强度、压紧胶带用力、胶带剥离角度和速度等都对测试结果有影响。
3.CB/T 5210-1985 涂层附着力测定法(拉开法)。通常称“实验室拉力机法”,它等效采用了ISO4624-1978“色漆和清漆-附着力的拉开试验法”。   
拉开后可能出现以下情况:
(1)          底涂层与底材拉开,说明它们之间附着不良;
(2)          底材内聚开裂(塑料、混凝土等内聚强度低)而涂料与底材附着良好;
(3)          涂层之间拉开,说明层间附着不良;
(4)          涂层内聚拉开,说明涂料与底材的附着强度大于涂层内聚强度。
    拉开法比较科学和全面地测试复合涂层与底材之间附着力状况,目前在重防腐涂料性能的实验室测试中应用越来越多。但是它需要比较昂贵的拉力机,制备样品的周期比较长,而且最主要的是它不适合在现场测试。
342日本的“拉伸剪切法”
日本对于鳞片衬里提出涂层附着力的检测方法是采用的“拉伸剪切法”,它相当于中国的GB/T 7124-1986法,即将涂层直接作为胶粘剂,制作成钢-钢搭接的拉伸剪切试件。但是搭接面积日本的标准比中国的大一倍。为了便于与日本同类产品进行比较,我们在本文中采用了这种测试方法。它的缺点也是只能在实验室的拉力机上进行测试。
343附着力的现场拉开测试法
符合ASTM D4541“便携式附着力测定仪测试涂层附着力方法(拉开法)”的美国产“液压式粘合度测试仪HATE”,是一种手动式、粘接头可复用的现场涂层附着力检测仪。它适用于钢材、混凝土等不同基材,拉力范围是1~18Mpa。
该附着力测试仪的原理是将一定面积的试验盘(圆柱体粘接头)用强力胶粘剂牢固地粘接在涂层上,试验盘通过压针与液压拉力仪器相连接,将手动液压力由压针垂直作用于底涂层,当试验盘与基材脱开时,拉力读数盘上的指示数据即为附着力(单位为Mpa)。在试验盘粘接后应保证足够的养护期,以达到胶粘剂的充分固化。该仪器与其他现场拉开法测试仪最大的不同点是:(1)不用垫盘切割器沿试验盘周边将涂层割开。(2)试验盘(圆柱体粘接头)采用不锈钢材质,经高温处理后,可以重复使用。
本文采用了这种试验仪器和试验方法,与拉伸剪切法一起作为筛选、评价涂层并控制涂层附着力的2 个基本方法。
3. 5拉伸剪切强度的测定
拉伸剪切强度是直接评价涂料粘接强度好坏的一个重要指标。它避免了在其他附着力检测方法中采用胶接剂粘接涂层而可能产生的误差。图3.5-1-4是4种底涂层经过不同温度后,在室温下检测的结果。
QQ图片20200219095930.png

QQ图片20200219095949.png
  3.5-3 C底涂层的温度与拉剪强度关系     3.5-4 D底涂层的温度与拉剪强度关系
从图3.5中可以看出,同样的底涂随着温度升高,其平均拉伸剪切强度逐渐下降,但下降幅度不一。其中D底涂层经过180℃ 7天后的平均拉伸剪切强度还在10Mpa左右,是其他3种底涂层的3-3.5倍,强度保留率仍在70%以上。4种底涂层的平均拉伸剪切强度保留率见表3.5,从高至低排列次序为:D> C > A > B 。

QQ图片20200219095334.png
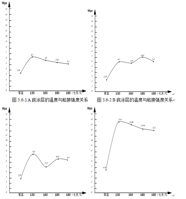
36 拉开法粘接强度的测定
本文采用的拉开法是可在涂装现场进行附着力检测的方法。它能直观和及时地表达涂层对基材的附着力质量。4种底涂层经拉开法测试的平均粘接强度见图3.6-1-4。
QQ图片20200219095438.png
比较有意思的是4种底涂层经过高温以后的涂层附着力强度均大于其常温数据,而且常温下均是胶接剂与底涂层脱开。分析原因是:常温下底涂层表面由于厌氧作用而未能固化完全,胶接剂对底涂层表面没有起到应有的粘接作用,同时也说明底涂层与基层的结合力大于胶接强度。这表明拉开法有其局限性,同时也说明采用“拉伸剪切法”直接进行涂层粘接强度的测定与拉开法是可以互为补充的方法。
而在涂层直接经过高温后,底涂层达到了其应该有的固化度,从涂层的破坏形式看,均是底涂层与碳钢基材面脱开,这就是我们所需要的底涂层对基层的附着力。需要特别指出的是:D的粘接强度在4种底涂层中同样脱颖而出!如本文 第3.1节中提到的那样,这么高的粘接强度,是否还存在着的涂层与碳钢基材之间的化学键合?这将有待我们进一步去研究证实。
我们试验所设定的130℃、160℃、180℃ 均是脱硫烟道、烟囱等运行所需要经历的温度点。所以在这些点上的粘接强度表征值,对现场施工质量的控制具有一定的指导意义,理应受到重视和关注。
前几年,对碳钢鳞片衬里附着力的检测方法通常是用涂有鳞片的试块在一定温度和时间下烘烤后,观察其是否开裂、脱层,进而来推断施工衬里层的附着力质量。这个方法尽管简单、方便,但是样板毕竟是样板,不能代替施工的实际衬里层,同时也缺乏定量判断的依据。而现场拉开法是可以弥补这一缺陷的重要方法之一,同时也为用户提供了一种筛选底涂层品种的快捷方法。
4
通过对涂层附着力的形成、影响因素、测试方法的分析、比较,选用了拉伸剪切法和现场拉开测试法对4种鳞片材料的底涂层进行了与基材的粘接强度测试。发现D品种是一种比较理想的底涂层。同时该涂层也已进入工程应用。相信随着科技的发展,会有越来越多的新型功能性底涂料出现,这对于保护金属基面免受腐蚀,将有积极意义。

回复

使用道具 举报

您需要登录后才可以回帖 登录 | 立即注册   扫一扫,用微信登录

本版积分规则

QQ|玻璃钢复合材料商城|联系我们|Archiver|手机版|小黑屋| FRP玻璃钢复合材料论坛 蜀ICP备10204395号-1

GMT+8, 2026-4-27 00:35 , Processed in 1.147721 second(s), 23 queries .

© 2015-2016

快速回复 返回顶部 返回列表